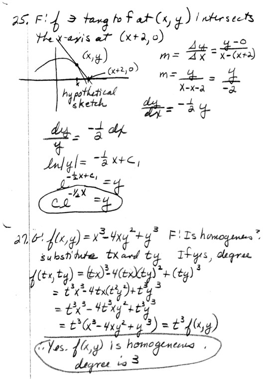
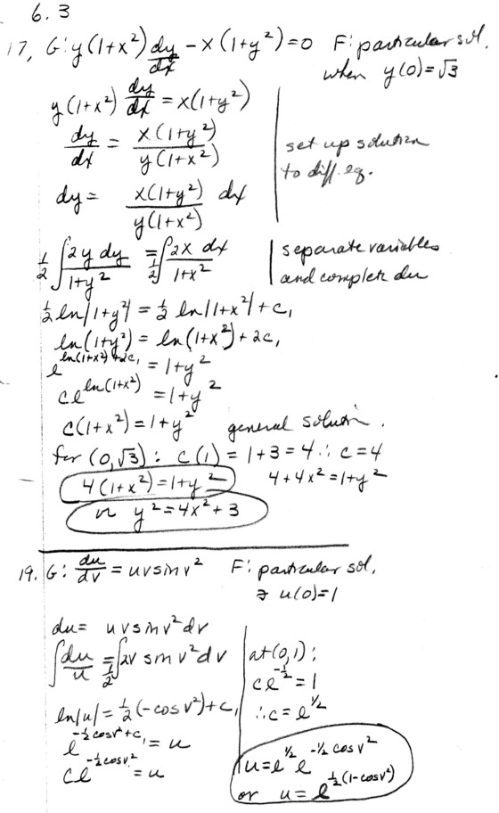
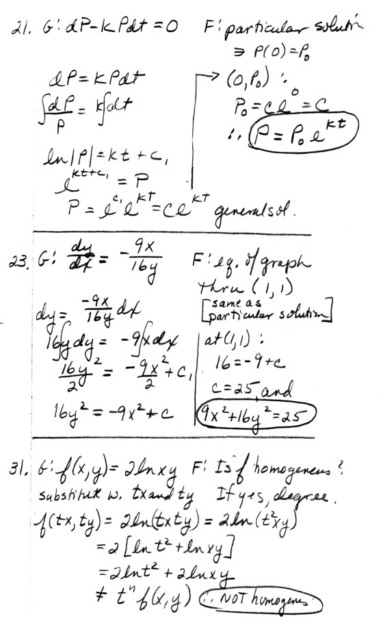
CALC Homework:

CH 6.3:  Separation of Variables & Homogeneous Equations   previous

RETURN TO:     Bat's Bytes    Calc Home       Calc Homework     Class Notes

separation of variables

homogeneous equations

Web Master:  G. Battaly        RETURN TO:     Bat's Bytes    Calc Home       Calc Homework     Class Notes